产品FAQ

ABBYY

ACDSee

AxMath

BarTender

软件使用

BarTender软件提示无法链接到数据库?BarTender如何在二维码中间添加图片?二维码插入图片后为什么扫描不出来?BarTender用户使用手册BarTender如何查看7日内打印机使用情况BarTender打开提示:错误消息#2622 权限被拒绝 BarTender的安全策略不允许指定的用户执行此操作BarTender打印时提示:无法连接到 BarTender 系统服务BarTender提示:错误消息#1402 无法连接到包含许可证的License Server。BarTender同一局域网内其他电脑无法激活,或搜索不到服务器,激活提示:#1203 在Licensing Server上找不到产品密钥代码。BarTender新建空白模板提示:以红色显示的功能需要更高版本。具体功能是电子文档,创建PDF文件和其他电子文档。BarTender打开提示:Windows无法启动BarTender Integration Service服务(位于本地计算机上)。错误1068:依赖服务或组无法启动。BarTender提示:错误消息#1401 您超过了BarTender许可证”XXX-XXX-...“在7天内允许的最大打印机数量X。必须为您的许可证购买额外的打印机或减少所使用的打印机数量。只有解决此问题,BarTender才能将打印机代码模板打印或导出到打印机”XXX“BarTender打印时提示:错误消息#3420当前用户无权使用许可证。请检查License Server上的许可证访问控制设置,然后重试。只有解决此问题,BarTender才能打印或导出打印机代码模板。BarTender打开文件提示:3338 无法访问临时文件:C:\Users\用户名\AppData\Local\Temp\BTWBarTender换机教程—移动您的BarTender许可证到一个新的计算机BarTender:错误消息#6240,未在本地计算机上注册“Micsoft.ACE.OLEDB.12.0”提供程序#6243,无法配置SQL Server LocalDB:在您的计算机上找不到LocalDB或其组件,请与系统管理员联系

Beyond Compare

Camtasia

安装激活

Camtasia安装时报错:设置错误,错误代码:(1168),找不到元素Camtasia设置错误,错误代码:(1460),由于超时时间已过,该操作返回Camtasia软件安装报错“我们无法验证您的软件密钥,也无法注册您的Camtasia副本”Camtasia 安装/激活/换机教程Camtasia2020安装完成之后无法运行问题的解决方法Camtasia离线激活教程/脱机激活/激活提示:无法获得激活服务,Camtasia无法访问激活服务。请检查您的互联网连接,然后重试,或者继续进行脱机激活Camtasia mac版安装的时候语言无法选择为中文/没有中文选项安装Camtasia时,提示:“错误代码:(5) 拒绝访问。Camtasia2020软件内登陆没有反应/登陆不上Camtasia安装提示:“错误1406:无法将值vidc.tscc写入密钥\ Software \ Microsoft \ Windows \ Windows NT\CurrentVersion\Driver32中。((System error[4].))确认您是否足够权限访问该密钥,或者联系支持人员。Camtasia激活时提示:无效密钥 输入的密钥不是有效的软件密钥。检查您输入的密钥是否有错误或尝试其他密钥。Camtasia激活提示“超出安装限制:您已超出此软件密钥的最大安装数量”“达到安装限制”Camtasia打开提示:无法启动Camtasia。如果此问题仍然存在,请联系技术支持。Camtasia2023版本无法登录/浏览器无法访问Camtasia导出文件时报错:无法连接到测验服务,要生成测验,Camtasia必须连接到测验服务器。检查您的互联网连接,然后重试。单击继续,生成没有测验的视频。

Capto

CODESOFT

CorelDRAW

安装激活

CorelDraw安装尚未完成,“您的系统尚未修改。若要改期完成安装,请再次执行安装程式。需要使用Internet Explorer 11来安装本产品。请确保您的操作系统已安装最新更新和Service Pack,然后再试一次”CorelDRAW安装激活/换机教程CorelDRAW 各版本缩略图下载CorelDRAW 报错“无法启动此程序,因为计算机中丢失mfc140u.dll”CorelDRAW提示”请连接internet进行登录”“ 错误:服务器出现未预料的错误。请检查您的因特网连接并稍后再试“CorelDRAW 错误4或错误19 尝试重新启动计算机和应用程序。如果这些操作还是不能解决问题,请卸载应用程序,重新安装。未知错误方案CorelDraw安装未完成,“您的系统尚未修改。如要另寻时间完成安装,请重新运行此安装程序。安装时发生严重错误”报错1303如何下载CorelDRAW软件?Corel DRAW 认证点击没有反应CorelDRAW查询注册账户、提交工单更换邮箱/Corel账号邮箱重置CorelDRAW安装打开报错 unable to load VGCore. error code:127/code:5/code:126CorelDRAW登录帐号激活的时候提示“错误:未知错误。”CorelDRAW软件无法安装,安装尚未完成。您的系统尚未被修改。我们在安装时遇到问题,或我们遇到了问题,请修改后再安装或报错1303CorelDRAW安装出错:“Windows Shell Extension:The feature....”CorelDRAW提示:无法启动此程序,因为计算机丢失api-ms-win-crt-runtime-l1-1-0.dll 尝试重新安装该程序以解决此问题。如何快速解决CorelDRAW安装中的.NET难题?如何将CorelDRAW卸载清理干净?CorelDraw是否支持升级?CorelDRAW如何换电脑/换机使用?CorelDrawX8安装未完成,“由于您已安装了另一版本,因此无法安装本产品。要安装本产品,您必须首先卸载现有版本”CorelDraw安装报错:由于找不到VCRUNTIME140_1.dll,无法继续执行代码。重新安装程序可能会解决此问题。CorelDRAW 安装卡白/不显示字体/只有框CorelDRAW会封禁用户序列号吗CorelDRAW安装提示:Error 1722.There is a problem with this Windows Installer package.CorelDRAW安装提示:Error 1406CorelDRAW安装提示:安装未完成 您的系统尚未修改。如果另寻时间完成安装,请重新运行此安装程序。处理证书时,出现了一个未知错误。CorelDRAW X6提示:安装未完成,您的系统尚未修改。如要另寻时间完成安装,请重新运行此安装程序。CorelDRAW安装提示:错误,订购ID无效CorelDRAW登录账号提示“此副本未注册到该用户账户。请使用与此产品副本关联的电子邮箱登录。“CorelDRAW 安装提示:安装未完成。您的系统尚未修改。如要另寻时间完成安装,请重新运行此安装程序。系统策略禁止这个安装。请与系统管理员联系。CorelDRAW登陆账号时提示电子邮件已存在CorelDRAW登录帐号激活的时候报错提示“错误:序列号已使用”/“凭据无效”CorelDRAW提示内存分配失败、内存不足问题的解决方法CorelDRAW登录激活报错“您的计算机已超过了可安装该产品的计算机数量...”/换机教程CorelDRAW安装时提示:Error 1304 . Error writing to file policy . 18.0 . Core.Interop . VGCore.dll. Verify that you have access to that directory.CorelDRAW X6提示:尝试重新启动计算机和应用程序。如果这些操作还是不能解决问题,请卸载应用程序,重新安装。(错误38)CorelDRAW Graphics Suite2021安装提示:A newer version of this application is already installed.Installation stopped.CorelDRAW安装登陆、修复、卸载界面空白/显示异常/显示不全/不显示CorelDRAW打开提示:尝试重新启动计算机和应用程序。如果这些操作还是不能解决问题,请卸载应用程序,重新安装。(错误1)CorelDRAW安装时提示:安装未完成.您的系统尚未修改.如要另寻时间完成安装,请重新运行此安装程序.系统找不到指定的路径/系统找不到指定的文件CorelDRAW X8点击忘记密码显示“504 Gateway Time-out”CorelDRAW订阅版如何获取序列号和安装包——授权书中只有Corel许可证号和许可证导入代码CorelDRAW安装界面显示不全/显示不完整CorelDRAW安装时提示:Error 1312.Cannot create the directory C:\ProgramData\Corel\Messages.A file with this name already exists. Please rename or remove the file and click Retry, or click Cancel to exit.CorelDRAW收到授权书后如何下载新版本安装包打开CorelDRAW X8报错:已停止工作,出现了一个问题,导致程序停止正常工作,请关闭程序

软件使用

如何查看Corel账户下的产品信息(序列号/激活码)打开CorelDRAW X8时闪退 / 弹出提示“已停止工作”CorelDRAW打开文件报错“生成对象失败。确认在系统注册器中输入了对象。”CorelDRAW 打印文件,预览正常,打印出来就丢失一些文件(打印不全)CorelDRAW打开文件提示:该文件的版本为23.0/22.0/21.0.若要打开该文件,您必须升级程序版本CorelDRAW 提示:请重新连接具有文件位置的设备,或选择新文件夹。同时,内容将保存在Corel默认位置。您可以在恢复文件位置之后移动内容。CorelDRAW X8视频课程合集获取方式CorelDRAW如何用字体管理器添加字体CorelDRAW X8获取更多提示:内容服务器不可用CorelDRAW软件导出任意格式图片时闪退/停止工作的处理方法CorelDRAW中编辑栏宽时闪退/无响应的处理方法CorelDRAW高版本文件转成x4版本文件后打开会有色差的解决方法CorelDRAW打开第三方程序导出文件卡顿怎么解决?CorelDRAW部分版本捕捉字体乱码问题的解决方法在CorelDRAW中将轮廓转换为对象时卡顿、闪退的解决方法CorelDRAW X8自定义快捷键CorelDRAW一直可以正常使用,突然之间打不开/无法打开了怎么解决CorelDRAW X8 如何调用出CMYK颜色模式CorelDRAW菜单栏下拉选项位置出现黑块/黑条问题修复Coreldraw打开提示未找到字体,该应用程序未正确安装CorelDRAW无法正常启动,报错0xc000007bCorelDRAW X8使用宋体乱码/黑体不显示的情况CorelDRAW转曲之后用另一台电脑打开显示缺少文字CorelDRAW首次打开正常,再次打开出现卡死,无响应等情况CorelDRAW X8提示:无法加载 VGCore.Dll. 错误代码:193CorelDRAW缩略图不显示怎么办?电脑安装2345王牌输入法之后,CorelDRAW X8 X6 X7打不开CorelDRAW X8发布pdf格式有点慢怎么办CorelDRAW 2020个人版/标准版支持插入条形码吗?CorelDRAW软件中字体无法识别,字体乱码,打开软件后字体显示乱码、错位,提示字体缺失替换字体后软件闪退CorelDRAW菜单栏或设置界面字体显示不全/有黑色块/黑块/黑框CorelDRAW“欢迎界面”卡死无法新建/无法操作如何在CorelDRAW中激活魔镜插件CorelDRAW的转曲功能如何使用CorelDRAW编辑文件时,总会卡住不动CorelDRAW软件打开报错“脚本错误:当前页面的脚本发生错误”CorelDRAW使用卡顿或无法保存/另存为/导出的解决方法CorelDRAW 菜单栏不显示?CorelDraw从office/word/excel/ppt复制的图片无法自定义尺寸CorelDraw打开提示:The UI language registration list is invalid.CorelDRAW X8更改默认字体CorelDRAW X8打开提示无网络连接,或无执行权限~~1、cdr不禁网再试。2、退360、关防火墙再试。CorelDRAW移动/拖动图片或图形会复制CorelDRAW的使用手册/用户指南CorelDRAW如何清理缓存并还原CorelDRAW如何调用左侧工具栏/工具箱CorelDRAW关闭时弹窗“OK”无法关闭弹窗或无法关闭软件CorelDRAW如何还原工作区预设/恢复出厂默认值CorelDRAW如何修复软件CorelDRAW如何在软件内通过用户凭据更改激活信息/Corel账号CorelDRAW使用中,系统安装字体时提示无法安装,显示的字体无效CorelDRAW新建文件或者打开文件时未响应/没有反应CorelDRAW打开或者打印文件时提示:遇到不适当的参数CorelDRAW的Mac版本竖排文字转曲文字方向变化应如何操作CorelDRAW如何设置画外布的绘图随页面增加而保持一致(X8以后的版本)CorelDRAW打开文件提示”更新文本“CorelDRAW插入条码时提示:在OLE容器中保存OLE嵌入式对象失败CorelDRAW使用过程中弹窗安全警报:该站点安全证书的吊销信息不可用,是否继续?CorelDRAW如何查看自动备份/自动保存路径/闪退了的文件去哪里找使用中报错由于”CorelDRAW-未命名-1“程序没有响应,因此该操作无法完成。请选择”切换至“命令,然后更正问题CorelDRAW打开文件空白/先打开软件才能打开文件/双击文件只打开软件,文件不能打开/无法拖入拖放打开文件CorelDRAW文件缩小视图后图片或文字不显示,放大300%后才显示

CrossOver

FastStone Capture

FL Studio

购买相关

Focusky

安装激活

HyperSnap

iSlide

安装激活

Luminar Neo

MindManager

MindMapper

mySongBook

安装激活

Paragon

安装激活

安装 Paragon NTFS for Mac 时提示“未能完成该操作。(GFErrorDomainLaunchd 错误4。)”,该如何解决?Paragon NTFS for Mac换机M芯片电脑上的Paragon NTFS for Mac 15如何安装激活如何安装激活Paragon NTFS for Mac?Paragon ntfs for mac在线激活问题:在指定的ParagonBox账户中找不到可用的许可证Paragon NTFS激活报错“LSL_ERR_SERVER_CONFLICT”ParagonBox账户注册激活教程Paragon NTFS的安装激活教程Paragon NTFS激活出现错误产品编号Paragon NTFS For Mac软件激活不了?Paragon NTFS for Mac 安装分卷失败?如何卸载Paragon NTFS?Paragon NTFS激活提示:Failed to activate product Failed to login into account . Invalid user name or passwordParagon NTFS如何换电脑使用?Paragon NTFS安装提示:未能完成操作。(CFErrorDomainLaunchd错误9。)Paragon激活提示:此序列号已经在另一台电脑上激活。请注意一个许可不能再多台电脑.上并行使用。如果您想在另一台电脑上使用您的许可 ,请先释放已经激活的许可Paragon激活提示:未能完成该操作。(Mach错误1102-unknown error code)ParagonNTFS如何在ParagonBox账号中查看注册码Paragon NTFS运行安装包没有反应,没有安装页面Paragon NTFS 16的注册激活教程Paragon NTFS 16如何换机/账户内移除设备Paragon NTFS 16在线激活问题:在指定的Paragon Licensing Center账户中找不到可用的许可证Paragon NTFS 安装时提示package installation failed:The upgrade failed(安装器遇到了一个错误,导致安装失败。请联系软件生产企业以获得帮助。将文件移到最终目的位置时发生意外错误。)Paragon NTFS安装报错:未能完成操作。(Mach错误1102-unknown error code)

ProcessOn

Rayfire

安装激活

Snagit

thinkingParticles

会声会影

安装激活

如何卸载会声会影?会声会影各版本系统要求会声会影输入序列号时提示序列号不正确或无效如何解决?【序列号不正确。请联系技术支持(错误码:1003)】电脑32位和64位有什么区别,如何判断我是否可以安装会声会影/如何判断电脑位数会声会影软件提示:此序列号被使用的次数太多。请联系技术支持(错误码:1001)会声会影试用版如何正确安装、卸载?会声会影安装时弹出“安装时遇到问题。请联系技术支持”如何解决?会声会影的清理教程和清理工具的下载会声会影提示:您似乎不是注册用户。请重新安装应用程序或呼叫客户支持并提供1011错误代码转完格式,渲染时提示帧120不可读怎么办?会声会影软件激活安装成功,打开软件后界面显示方块或问号(??),显示异常,如何解决?如何安装激活会声会影如何清理注册表里的会声会影安装信息?会声会影如何下载?会声会影2018版本安装后打不开如何解决?会声会影打开提示找不到MasktoolDB.dll如何解决?会声会影打开提示:应用程序无法启动,因为应用程序的并行配置不正确.有关详细信息,请参阅应用程序事件日志,或使用命令行sxstrace.exe工具.会声会影无法打开,点击程序出现乱码弹窗如何解决?软件安装过程中主程序已经安装后突然回滚导致安装识别,报错安装问题联系技术支持如何解决?点击会声会影安装包后没反应,也没有任何错误提示如何解决?会声会影2020安装标准内容导致电脑重启如何解决?安装会声会影提示Error launching installer怎么办?会声会影安装界面显示全白,部分显示不完全或者显示一半如何解决?会声会影2018和会声会影2019安装的时候无法输入序列号如何解决?如何解决会声会影安装提示:“文件名、目录名或卷标语法不正确”的问题?如何解决安装时出现该项不适于在指定状态下使用?如何解决会声会影安装出现1406错误?如何解决会声会影安装出现1935错误?会声会影安装时提示:安装向导未完成-系统已被修改/已安装这个产品的另一个版本如何解决 ?会声会影2020报错1033 setup已安装如何解决?会声会影安装后主程序菜单显示英文,但系统语言正常中文会声会影安装提示:下载时遇到问题。请检查您的Internet连接会声会影安装提示:NewBlue_Effects.exe已停止工作会声会影2022登陆激活界面显示不正常/显示不全会声会影2022登陆时提示:您的计算机数量已超出了可安装该产品的计算机数量“会声会影提示”请连接internet进行登录”“ 错误:服务器出现未预料的错误。请检查您的因特网连接并稍后再试“会声会影激活提示:电子邮件已存在会声会影登录帐号激活的时候报错提示“错误:序列号已使用”会声会影查询注册账户、提交工单更换邮箱/Corel账号邮箱重置

软件使用

会声会影导入MTS格式的没有声音怎么办?会声会影2020 3D标题字体异常会声会影SWF(Flash)素材文件无法使用编辑时如何去除视频黑边?会声会影快捷键自定义动作卡死如何解决?旗舰版的分屏创建器如何使用?软件编辑的时候会有闪退、停止工作现象如何解决?出现软件无法打开,点击软件图标没有任何反应问题如何解决?会声会影模板使用方法、步骤教程、常见问题软件编辑渲染的时候闪退怎么办?为什么软件有换机次数的限制?会声会影的素材去哪边下载?会声会影使用手册会声会影2020字幕编辑器黑屏怎么解决?会声会影点击图片不显示,包括自带图片,导入显示内存不足如何解决?会声会影2020音频渲染卡死闪退。会声会影报错“无法打开文件【..】。文件格式不匹配。【16801:5:1】”flv、kux、qsv打开会声会影软件出现报错“This application failed to start because no Qt platform plugin could be initialized.Reinstalling the application may fix this problem.Available platform plugins are: windows”如何设置使得打开会声会影直接到编辑页面/如何设置打开的默认页面会声会影使用过程中出现错误38-CorelVideoStudio文件损坏或被修改。请重新安装原始来源会声会影渲染出错如何解决?会声会影录制视频没有声音如何解决?会声会影55个常见问题格式工厂的使用教程会声会影2020渲染在没有任何提示下,文件崩溃如何解决?会声会影自带的素材无法播放或闪退(自带的mov素材能打开,点击mp4无法播放或闪退同样适用)QuickTime会声会影软件是否支持4k视频编辑?会声会影提示无法打开wave-in设备如何解决?会声会影X8:已停止工作,故障模块KERNELBASE.dII,异常代码:c06d007捕获的时候出现“Prepare record failed!!! #0”错误如何解决?全屏录制正常,无法自定义录制或自定义录制后显示黑屏会声会影无法录屏,点击录屏程序闪退或提示停止工作打开会声会影项目文件、模板文件提示“重新链接”如何解决?/视频丢失,白色不显示/黑白条会声会影2020打开视频无法显示,提示安装HEVC解码器组件如何解决?如何修复会声会影2020字幕编辑器闪退?如何正确安装会声会影2020版本修复补丁包会声会影已停止工作-故障模块:igdumdim64.dllwin7及以上系统更新后出现会声会影无法打开如何解决?会声会影打开提示 Load From Stream Error怎样彻底删除美式键盘?会声会影打开提示SerializeBB Error,重新安装也无法解决问题如何处理?会声会影2020旗舰版安装后缺少proDAD和Boris怎么解决?会声会影软件出错无法解决,如何找出log文档会声会影smf格式的图片导入后不显示/显示问号/?会声会影使用时出现BurnStarR DLL已停止工作如何解决?会声会影编辑过程中提示:APLoading MFC Application 已停止工作会声会影清理缓存会声会影大师套装中 Adorage插件的安装和查看如何取消会声会影开机自启动会声会影使用音频滤镜时提示:Video Editor无法识别此滤镜会声会影提示:qtBridge.exe已停止工作会声会影播放音频提示:无法用MCI命令播放此视频文件。MCI报告:所有可按当前格式播放文件的波形设备都被占用。请等候波形设备空闲后,再试一次。会声会影渲染失败提示:打开MPEG编码器失败或“文件可能处于写保护状态”或“无法加载库”苹果手机(iPhone)拍摄的MOV视频导入会声会影无法正常打开显示或播放异常会声会影2022换机教程如何回退显卡驱动会声会影关闭时弹窗“OK”无法关闭弹窗或无法关闭软件会声会影大师滤镜使用手册/LUT滤镜如何导入会声会影会声会影关闭时提示UEIP.dll时出现问题找不到指定的模块会声会影内免费素材的下载安装/以proDAD Adorage Volume13为例会声会影2022/2023版本如何开启或关闭时间轴即时预览/轨道上黄色的线会声会影使用过程中报错:系统中未安装捕获驱动程序,或没有连接设备会声会影打开时报错:应用程序无法正常启动(0xc0000022),请单击“确定”关闭应用程序会声会影2020 AMD设备导入mp4花屏/黑屏/显示异常会声会影2020覆叠轨不显示会声会影使用中报错由于另一个程序正在运行中,此操作无法完成。请选择”切换至“来激活正在运行中的程序,并更新问题。

几何画板

福昕

网易云音乐

证照之星

软件使用

证照之星为什么无法自动处理背景 ?证照之星如何导入背景底片证照之星联机拍摄无法在软件里面显示照片/联机拍摄设置好之后查看不到拍摄的照片?使用证照之星打印出来的照片掉色/颜色变淡证照之星报错“Invalid floating point operation”"Invalid filename"证照之星支持什么操作系统/系统要求证照之星免费版跟正式版有什么区别?版本对比证照之星个人版和企业版有什么区别?证照之星的升级以及加密狗损坏/丢失政策联机拍摄支持什么相机?可以在同一张纸上打印不同人的照片吗?打印照片时为什么会提示“进行打印设置”?证件照片是否可以在排版时进行混排?证照之星提示内存不足/Out of memory为什么证照之星联机拍摄的照片无法处理保存?证照之星提示:cannot create file"C:\tmp.bmp"客户端没有所需的特权为什么会出现“OMP Abort”提示?证照之星提示I/O error 123证照之星如何设置联机拍摄功能?证照之星如何换电脑使用?证照之星cannotcreatefile证照之星批量打印提示:Access violation at address 005A88E4 in module ' ZZZX.exe" Read of address 00000000证照之星打印出来照片不清晰、颜色不正常或者有条纹如何解决?证照之星一键完成时提示Cannot open file“”,文件名、目录名或卷标语法不正确。证照之星XE个人版如何更改默认背景颜色/替换背景证照之星如何将多张图片打印在同一张相纸上/批量打印

闪客精灵

驱动人生

帮助中心
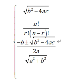
MathType中使用大括号或者矩阵时最后一行是空行

image.png

问题原因:“Cambria Math”作为矩阵字体在MathType中的公式里有矩阵、扩展括号、括号或者圆括号无法正常运行导致的

解决方案:

1、MathType中点击-样式-定义

image.png


2、”简单“中把主要字体替换成除”Cambria Math“之外的字体

image.png

3、”高级“中把”Cambria Math“都替换成其他字体,点击”应用“后点击”确定“即可

image.png